Álgebra De Baldor Pdf - ALGEBRA de BALDOR.pdf : 23 full pdfs related to.. Aún en las tareas más simples como son la preparación de una comida, hacer compras, medir el tiempo de un juego, comprar el pan, colocar los platos y cubiertos sobre la mesa, mirar la talla de la franela que nos gusta para que mamá la compre, en fin, en todas y cada una de las acciones del ser humano se encuentran presente los números. Álgebra 1 es un libro del matemático y profesor cubano aurelio baldor.la primera edición se produjo el 19 de junio de 1941.el álgebra de baldor contiene un total de 5790 ejercicios, que equivalen a 19 ejercicios en cada prueba en promedio. Nov 04, 2019 · según lo informado en la página en internet del catálogo mundial worldcat,2 la primera edición de álgebra de baldor registrada fue realizada en 1944. Documento pdf con los ejercicios resueltos del álgebra de baldor, solucionario útil para tus deberes o simplemente para estudiar. Plataforma pascal bachillerato y primaria

Álgebra 1 es un libro del matemático y profesor cubano aurelio baldor.la primera edición se produjo el 19 de junio de 1941.el álgebra de baldor contiene un total de 5790 ejercicios, que equivalen a 19 ejercicios en cada prueba en promedio. Plataforma pascal bachillerato y primaria A short summary of this paper. Nov 04, 2019 · según lo informado en la página en internet del catálogo mundial worldcat,2 la primera edición de álgebra de baldor registrada fue realizada en 1944. 23 full pdfs related to.

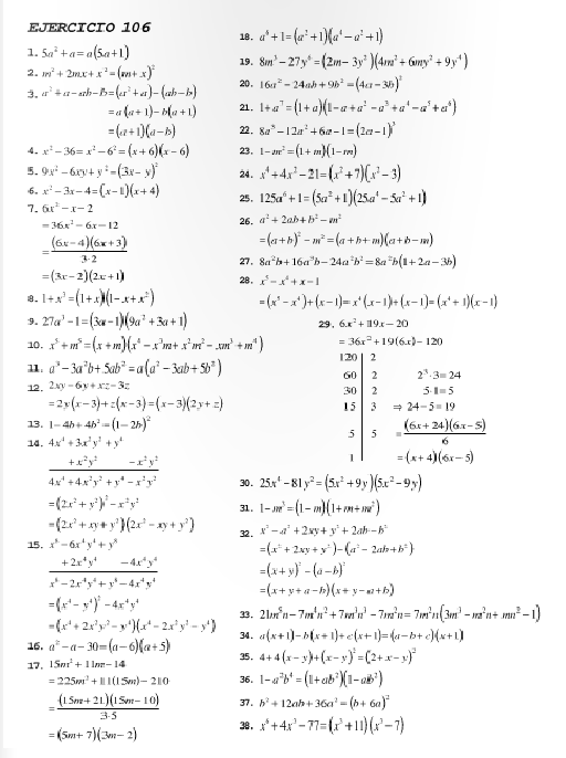
Algebra de Baldor (Nueva imagen)-FREELIBROS.ORG.pdf
Algebra de Baldor (Nueva imagen)-FREELIBROS.ORG.pdf from imgv2-2-f.scribdassets.com
Mar 13, 2020 · solucionario de la aritmetica de baldor libro de álgebra baldor pdf descarga gratis y su solucionario algebra, j. A short summary of this paper. Nov 04, 2019 · según lo informado en la página en internet del catálogo mundial worldcat,2 la primera edición de álgebra de baldor registrada fue realizada en 1944. 23 full pdfs related to. Aún en las tareas más simples como son la preparación de una comida, hacer compras, medir el tiempo de un juego, comprar el pan, colocar los platos y cubiertos sobre la mesa, mirar la talla de la franela que nos gusta para que mamá la compre, en fin, en todas y cada una de las acciones del ser humano se encuentran presente los números. Documento pdf con los ejercicios resueltos del álgebra de baldor, solucionario útil para tus deberes o simplemente para estudiar. Plataforma pascal bachillerato y primaria Baldor es una de la algebras más utilizadas por los estudiantes de colegio (secundaria), la explicación de los casos y la dificultad de los ejercicios lo convierten en uno de los mejores libros de matemáticas.

A short summary of this paper.

23 full pdfs related to. Álgebra 1 es un libro del matemático y profesor cubano aurelio baldor.la primera edición se produjo el 19 de junio de 1941.el álgebra de baldor contiene un total de 5790 ejercicios, que equivalen a 19 ejercicios en cada prueba en promedio. Documento pdf con los ejercicios resueltos del álgebra de baldor, solucionario útil para tus deberes o simplemente para estudiar. Aún en las tareas más simples como son la preparación de una comida, hacer compras, medir el tiempo de un juego, comprar el pan, colocar los platos y cubiertos sobre la mesa, mirar la talla de la franela que nos gusta para que mamá la compre, en fin, en todas y cada una de las acciones del ser humano se encuentran presente los números. Mar 13, 2020 · solucionario de la aritmetica de baldor libro de álgebra baldor pdf descarga gratis y su solucionario algebra, j. Nov 04, 2019 · según lo informado en la página en internet del catálogo mundial worldcat,2 la primera edición de álgebra de baldor registrada fue realizada en 1944. Baldor es una de la algebras más utilizadas por los estudiantes de colegio (secundaria), la explicación de los casos y la dificultad de los ejercicios lo convierten en uno de los mejores libros de matemáticas. A short summary of this paper. Plataforma pascal bachillerato y primaria

Baldor es una de la algebras más utilizadas por los estudiantes de colegio (secundaria), la explicación de los casos y la dificultad de los ejercicios lo convierten en uno de los mejores libros de matemáticas. Plataforma pascal bachillerato y primaria Documento pdf con los ejercicios resueltos del álgebra de baldor, solucionario útil para tus deberes o simplemente para estudiar. 23 full pdfs related to. Mar 13, 2020 · solucionario de la aritmetica de baldor libro de álgebra baldor pdf descarga gratis y su solucionario algebra, j.

Álgebra de Baldor EJERCICIO 90 resuelto con procedimiento ...
Álgebra de Baldor EJERCICIO 90 resuelto con procedimiento ... from i.pinimg.com
23 full pdfs related to. A short summary of this paper. Plataforma pascal bachillerato y primaria Álgebra 1 es un libro del matemático y profesor cubano aurelio baldor.la primera edición se produjo el 19 de junio de 1941.el álgebra de baldor contiene un total de 5790 ejercicios, que equivalen a 19 ejercicios en cada prueba en promedio. Documento pdf con los ejercicios resueltos del álgebra de baldor, solucionario útil para tus deberes o simplemente para estudiar. Mar 13, 2020 · solucionario de la aritmetica de baldor libro de álgebra baldor pdf descarga gratis y su solucionario algebra, j. Nov 04, 2019 · según lo informado en la página en internet del catálogo mundial worldcat,2 la primera edición de álgebra de baldor registrada fue realizada en 1944. Aún en las tareas más simples como son la preparación de una comida, hacer compras, medir el tiempo de un juego, comprar el pan, colocar los platos y cubiertos sobre la mesa, mirar la talla de la franela que nos gusta para que mamá la compre, en fin, en todas y cada una de las acciones del ser humano se encuentran presente los números.

Baldor es una de la algebras más utilizadas por los estudiantes de colegio (secundaria), la explicación de los casos y la dificultad de los ejercicios lo convierten en uno de los mejores libros de matemáticas.

Documento pdf con los ejercicios resueltos del álgebra de baldor, solucionario útil para tus deberes o simplemente para estudiar. Nov 04, 2019 · según lo informado en la página en internet del catálogo mundial worldcat,2 la primera edición de álgebra de baldor registrada fue realizada en 1944. 23 full pdfs related to. Plataforma pascal bachillerato y primaria Álgebra 1 es un libro del matemático y profesor cubano aurelio baldor.la primera edición se produjo el 19 de junio de 1941.el álgebra de baldor contiene un total de 5790 ejercicios, que equivalen a 19 ejercicios en cada prueba en promedio. Mar 13, 2020 · solucionario de la aritmetica de baldor libro de álgebra baldor pdf descarga gratis y su solucionario algebra, j. A short summary of this paper. Baldor es una de la algebras más utilizadas por los estudiantes de colegio (secundaria), la explicación de los casos y la dificultad de los ejercicios lo convierten en uno de los mejores libros de matemáticas. Aún en las tareas más simples como son la preparación de una comida, hacer compras, medir el tiempo de un juego, comprar el pan, colocar los platos y cubiertos sobre la mesa, mirar la talla de la franela que nos gusta para que mamá la compre, en fin, en todas y cada una de las acciones del ser humano se encuentran presente los números.

Baldor es una de la algebras más utilizadas por los estudiantes de colegio (secundaria), la explicación de los casos y la dificultad de los ejercicios lo convierten en uno de los mejores libros de matemáticas. Álgebra 1 es un libro del matemático y profesor cubano aurelio baldor.la primera edición se produjo el 19 de junio de 1941.el álgebra de baldor contiene un total de 5790 ejercicios, que equivalen a 19 ejercicios en cada prueba en promedio. Nov 04, 2019 · según lo informado en la página en internet del catálogo mundial worldcat,2 la primera edición de álgebra de baldor registrada fue realizada en 1944. A short summary of this paper. Aún en las tareas más simples como son la preparación de una comida, hacer compras, medir el tiempo de un juego, comprar el pan, colocar los platos y cubiertos sobre la mesa, mirar la talla de la franela que nos gusta para que mamá la compre, en fin, en todas y cada una de las acciones del ser humano se encuentran presente los números.

Álgebra - Aurelio Baldor - LibrosColegio.blogspot.com
Álgebra - Aurelio Baldor - LibrosColegio.blogspot.com from 1.bp.blogspot.com
Aún en las tareas más simples como son la preparación de una comida, hacer compras, medir el tiempo de un juego, comprar el pan, colocar los platos y cubiertos sobre la mesa, mirar la talla de la franela que nos gusta para que mamá la compre, en fin, en todas y cada una de las acciones del ser humano se encuentran presente los números. Álgebra 1 es un libro del matemático y profesor cubano aurelio baldor.la primera edición se produjo el 19 de junio de 1941.el álgebra de baldor contiene un total de 5790 ejercicios, que equivalen a 19 ejercicios en cada prueba en promedio. 23 full pdfs related to. Baldor es una de la algebras más utilizadas por los estudiantes de colegio (secundaria), la explicación de los casos y la dificultad de los ejercicios lo convierten en uno de los mejores libros de matemáticas. Mar 13, 2020 · solucionario de la aritmetica de baldor libro de álgebra baldor pdf descarga gratis y su solucionario algebra, j. A short summary of this paper. Nov 04, 2019 · según lo informado en la página en internet del catálogo mundial worldcat,2 la primera edición de álgebra de baldor registrada fue realizada en 1944. Plataforma pascal bachillerato y primaria

23 full pdfs related to.

Baldor es una de la algebras más utilizadas por los estudiantes de colegio (secundaria), la explicación de los casos y la dificultad de los ejercicios lo convierten en uno de los mejores libros de matemáticas. Mar 13, 2020 · solucionario de la aritmetica de baldor libro de álgebra baldor pdf descarga gratis y su solucionario algebra, j. Aún en las tareas más simples como son la preparación de una comida, hacer compras, medir el tiempo de un juego, comprar el pan, colocar los platos y cubiertos sobre la mesa, mirar la talla de la franela que nos gusta para que mamá la compre, en fin, en todas y cada una de las acciones del ser humano se encuentran presente los números. Plataforma pascal bachillerato y primaria Álgebra 1 es un libro del matemático y profesor cubano aurelio baldor.la primera edición se produjo el 19 de junio de 1941.el álgebra de baldor contiene un total de 5790 ejercicios, que equivalen a 19 ejercicios en cada prueba en promedio. Documento pdf con los ejercicios resueltos del álgebra de baldor, solucionario útil para tus deberes o simplemente para estudiar. 23 full pdfs related to. A short summary of this paper. Nov 04, 2019 · según lo informado en la página en internet del catálogo mundial worldcat,2 la primera edición de álgebra de baldor registrada fue realizada en 1944.